Free Access

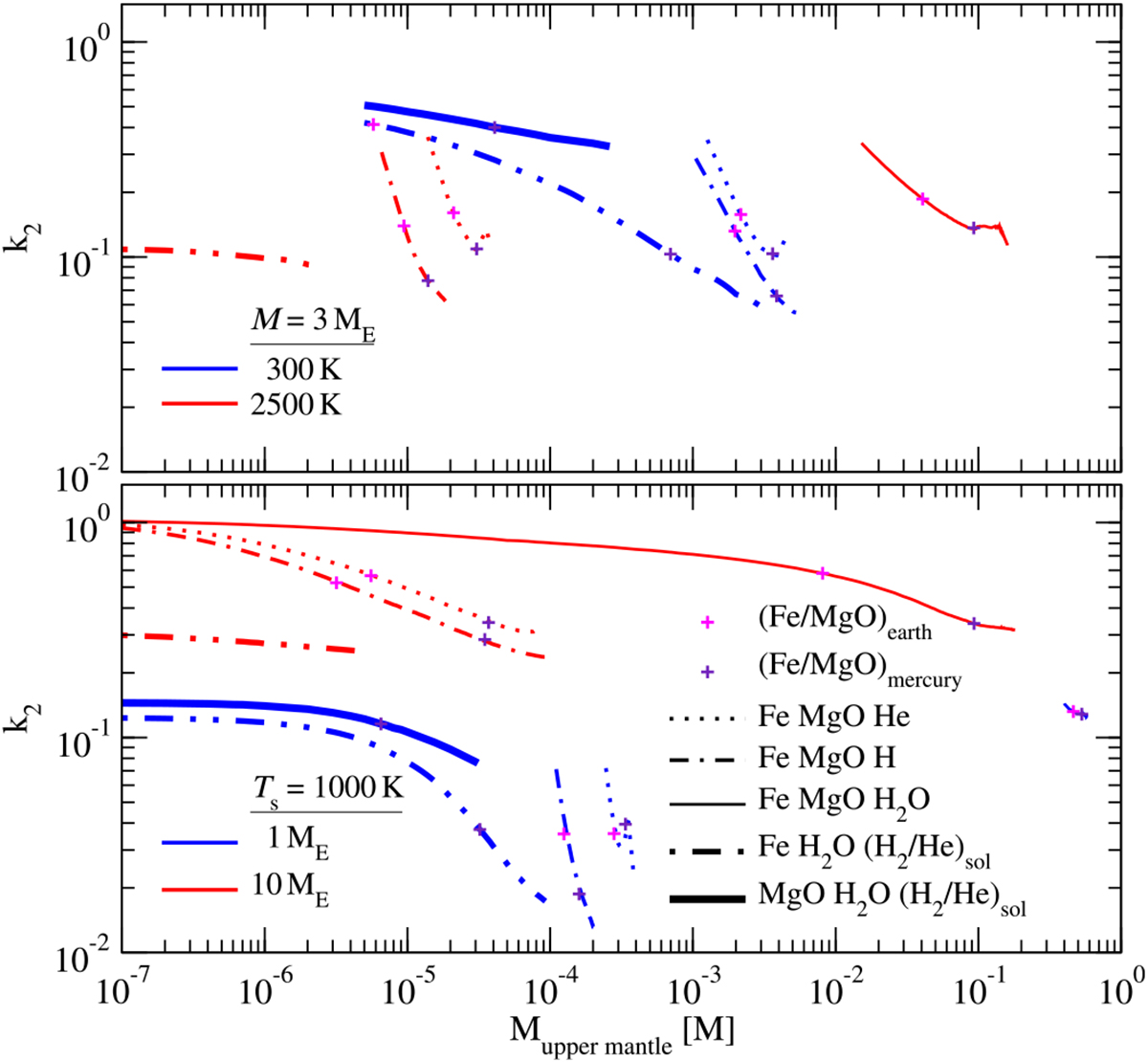
Fig. 5

image

Influence of the chemical composition of the three layers (different line styles). Masses and surface temperatures are the same as in Fig. 4, while all lines depict the two-Earth-radii iso-radius lines. No models were found for the parameter combinations (Fe MgO H2 O, 3 ME, 300 K) (MgO H2O (H2/He)sol, 3 ME, 2500 K), and (MgO H2O (H2/He)sol, 10 ME, 1000 K).

Current usage metrics show cumulative count of Article Views (full-text article views including HTML views, PDF and ePub downloads, according to the available data) and Abstracts Views on Vision4Press platform.

Data correspond to usage on the plateform after 2015. The current usage metrics is available 48-96 hours after online publication and is updated daily on week days.

Initial download of the metrics may take a while.