Free Access

Fig. 5

image

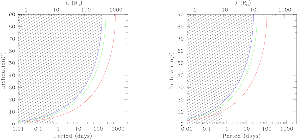
Constraints on the orbit for a putative compact companion of HD 45314 resulting from our upper limit of 10 km s−1 on K. We assume amass of 20 M for the Oe star. In the left panel, we consider a 2.0 M companion, whereas the right panel corresponds to a 1 M companion. The blue, green, and red lines correspond to eccentricities of 0.0, 0.5, and 0.8. The vertical straight line corresponds to the adopted radius (8 R) of the Oe star and the associated Keplerian rotation period. The dashed vertical line corresponds to the minimum outer radius of the Be disk that we have taken here as 10 R* (see Sect. 5.4) and its associated Keplerian period. The hatched area indicates the part of the parameter space that is excluded from the upper limit on the RV amplitude.

Current usage metrics show cumulative count of Article Views (full-text article views including HTML views, PDF and ePub downloads, according to the available data) and Abstracts Views on Vision4Press platform.

Data correspond to usage on the plateform after 2015. The current usage metrics is available 48-96 hours after online publication and is updated daily on week days.

Initial download of the metrics may take a while.