Free Access

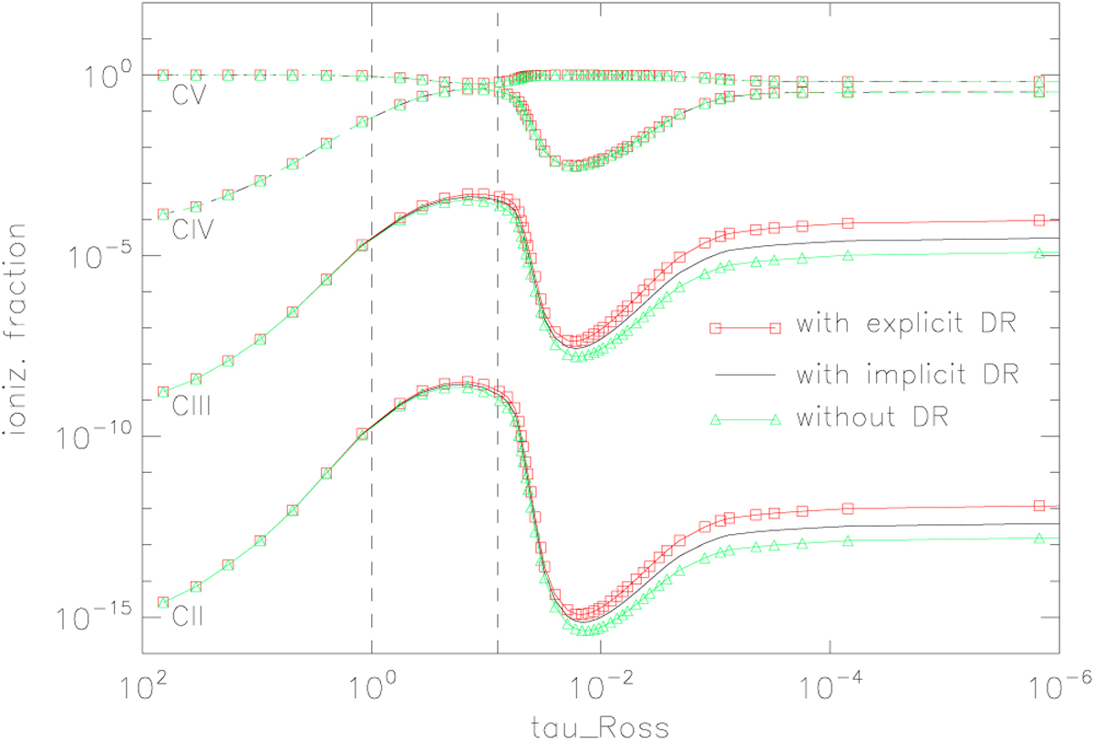
Fig. 3

image

Ionization fractions of carbon ions, as a function of τRoss, for model D45. Note the impact of DR onto C II and C III in the wind region. The dashed lines enclose the typical line-forming region of optical photospheric lines. For details, see text.

Current usage metrics show cumulative count of Article Views (full-text article views including HTML views, PDF and ePub downloads, according to the available data) and Abstracts Views on Vision4Press platform.

Data correspond to usage on the plateform after 2015. The current usage metrics is available 48-96 hours after online publication and is updated daily on week days.

Initial download of the metrics may take a while.