Free Access

Fig. 14

image

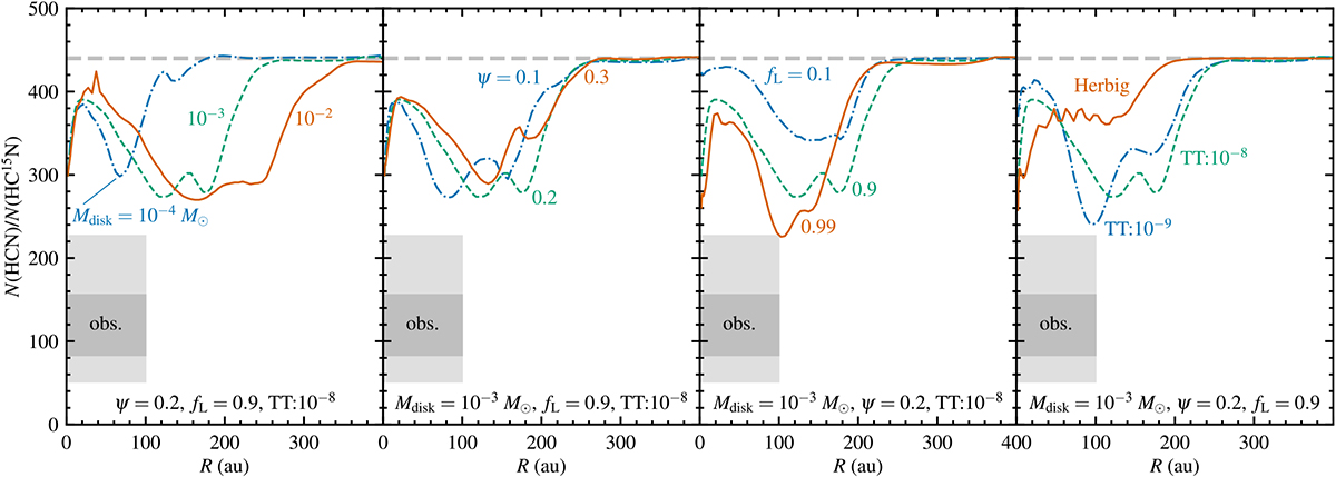
Column density ratios of HCN over HC15N at 1 Myr as a function of radius for a range of model parameters: disk mass (Mdisk), flaring angle power law (ψ), large grain fraction (fL) and stellar spectrum. The dashed gray line marks the elemental 14N/15N ratio of 440. The dark and light gray shaded regions indicate the range of observed HCN/HC15N ratios and uncertainties from Guzmán et al. (2017), probing material out to 100 au. The abbreviation “TT:10−8” means a T Tauri stellar spectrum with a UV excess for an accretion rate of 10−8 M yr−1.

Current usage metrics show cumulative count of Article Views (full-text article views including HTML views, PDF and ePub downloads, according to the available data) and Abstracts Views on Vision4Press platform.

Data correspond to usage on the plateform after 2015. The current usage metrics is available 48-96 hours after online publication and is updated daily on week days.

Initial download of the metrics may take a while.