Free Access

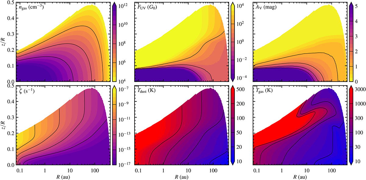
Fig. 2

image

Gas density, UV flux, visual extinction, ionization rate (sum of X-ray and cosmic ray contributions), dust temperature and gas temperature for a 10−3 M disk with 90% large grains, χ = 0.2 and ψ = 0.2, illuminated by a T Tauri stellar spectrum with a UV excess for 10−8 M yr−1. The FUV plot accounts for extinction. All panels are truncated at the 104 cm−3 density contour.

Current usage metrics show cumulative count of Article Views (full-text article views including HTML views, PDF and ePub downloads, according to the available data) and Abstracts Views on Vision4Press platform.

Data correspond to usage on the plateform after 2015. The current usage metrics is available 48-96 hours after online publication and is updated daily on week days.

Initial download of the metrics may take a while.