Free Access

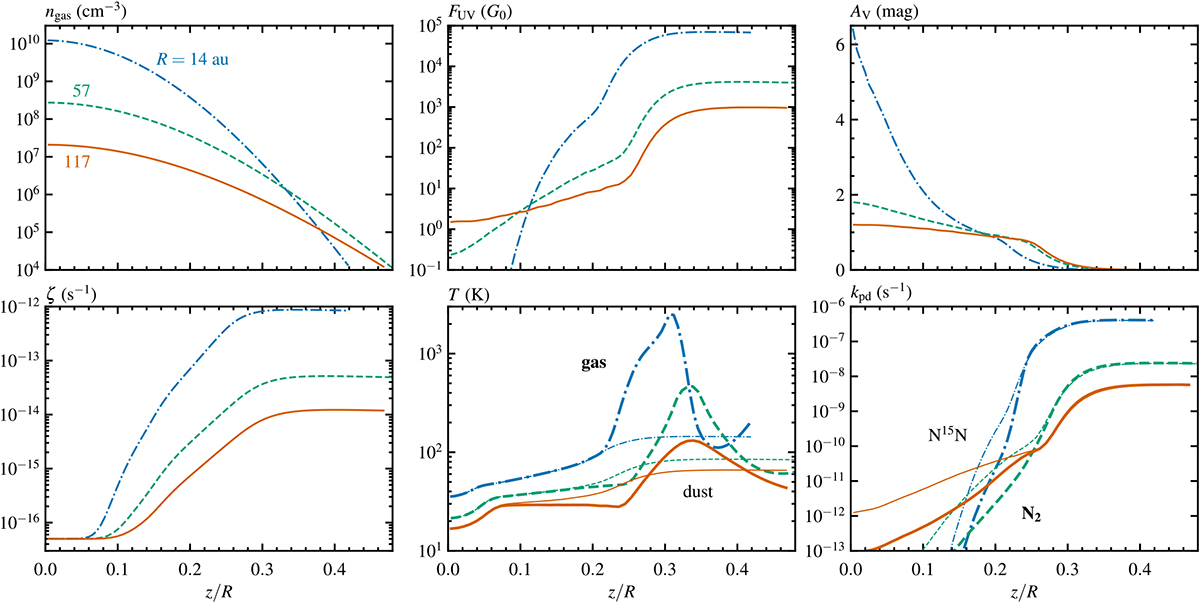
Fig. 3

image

Vertical cuts corresponding to Fig. 2. Bottom center panel: dust temperatures as thinner lines and gas temperatures as thicker lines. Bottom rightpanel: photodissociation rate of N15N as thinner lines and that of N2 as thicker lines.

Current usage metrics show cumulative count of Article Views (full-text article views including HTML views, PDF and ePub downloads, according to the available data) and Abstracts Views on Vision4Press platform.

Data correspond to usage on the plateform after 2015. The current usage metrics is available 48-96 hours after online publication and is updated daily on week days.

Initial download of the metrics may take a while.