Free Access

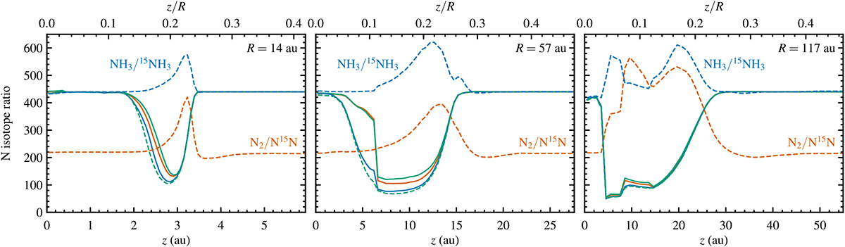
Fig. 7

image

Vertical cuts corresponding to Fig. 6. The profiles for N2/N15N and NH3/15NH3 are labeled. From top to bottom, the remaining profiles are for HNC/H15NC (solid green), HCN/HC15N (solid orange), CN/C15N (solid blue) and N/15N (dashed green).

Current usage metrics show cumulative count of Article Views (full-text article views including HTML views, PDF and ePub downloads, according to the available data) and Abstracts Views on Vision4Press platform.

Data correspond to usage on the plateform after 2015. The current usage metrics is available 48-96 hours after online publication and is updated daily on week days.

Initial download of the metrics may take a while.