Free Access

This article has an erratum: [https://doi.org/10.1051/0004-6361/201731976e]


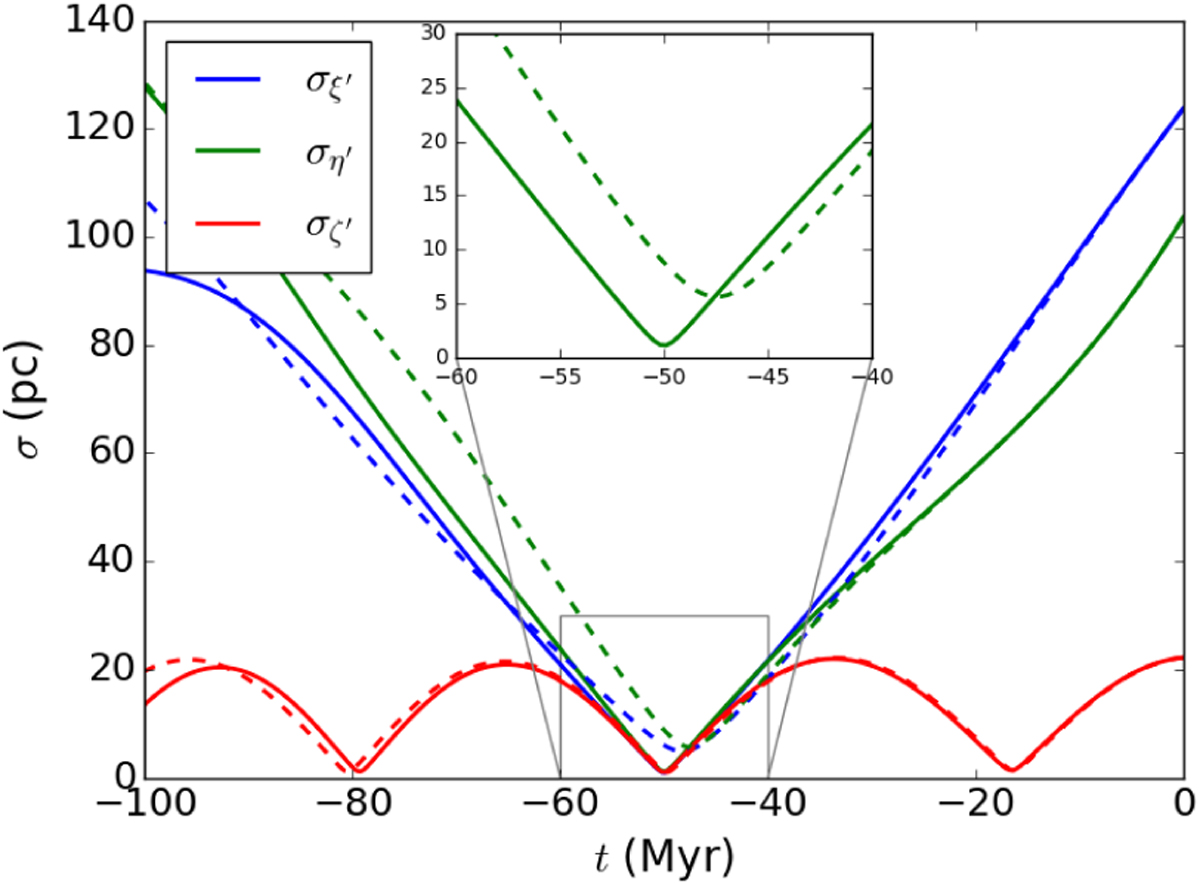
Fig. 10

image

Dispersion in positions from the integration back in time of the simulated YLA generated with initial conditions IC-1 and following orbit-1 (Sect. 3.2). The true evolution is computed with a potential including spiral arms (solid lines) and is compared with the evolution computed using the axisymmetric model (dashed lines).

Current usage metrics show cumulative count of Article Views (full-text article views including HTML views, PDF and ePub downloads, according to the available data) and Abstracts Views on Vision4Press platform.

Data correspond to usage on the plateform after 2015. The current usage metrics is available 48-96 hours after online publication and is updated daily on week days.

Initial download of the metrics may take a while.