Free Access

This article has an erratum: [https://doi.org/10.1051/0004-6361/201731976e]


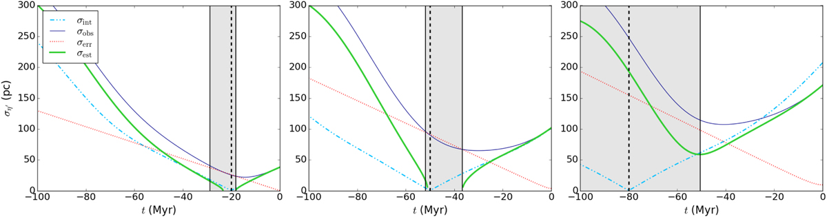
Fig. 4

image

Evolution in time of the dispersion in the η′ coordinate for a simulated YLA with initial conditions IC-1 and following orbit-1, from left to right, with ages of 20, 50 and 80 Myr (marked with a vertical black dashed line). The different colour lines are the intrinsic dispersion (σint, cyan dot-dashed line), the propagated observed dispersion (σobs, dark-blue solid line), the dispersion due to observational errors (σerr, red dotted line) and the estimated intrinsic dispersion (σest, green thick solid line). The grey-shaded region represents the uncertainty in the dynamical age determined.

Current usage metrics show cumulative count of Article Views (full-text article views including HTML views, PDF and ePub downloads, according to the available data) and Abstracts Views on Vision4Press platform.

Data correspond to usage on the plateform after 2015. The current usage metrics is available 48-96 hours after online publication and is updated daily on week days.

Initial download of the metrics may take a while.