Free Access

Fig. 1

image

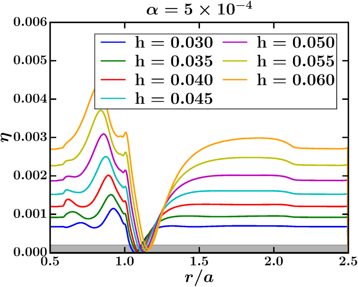
Illustration of the determination of the PIM via gas-only hydrodynamical simulations, where we find the minimum planet-to-star mass ratio (qg) for the formation of a pressure maximum beyond the orbit of the planet. The quantity η = −h2 logPlogr (averaged over azimuth) is shown as a function of orbital radius r (normalized to the planet’s semi-major axis a). Each curve is for a pair {qg, h} at α = 5 × 10−4. The shaded black area shows where η ≈ 0 for the practical determination of qg.

Current usage metrics show cumulative count of Article Views (full-text article views including HTML views, PDF and ePub downloads, according to the available data) and Abstracts Views on Vision4Press platform.

Data correspond to usage on the plateform after 2015. The current usage metrics is available 48-96 hours after online publication and is updated daily on week days.

Initial download of the metrics may take a while.