Free Access

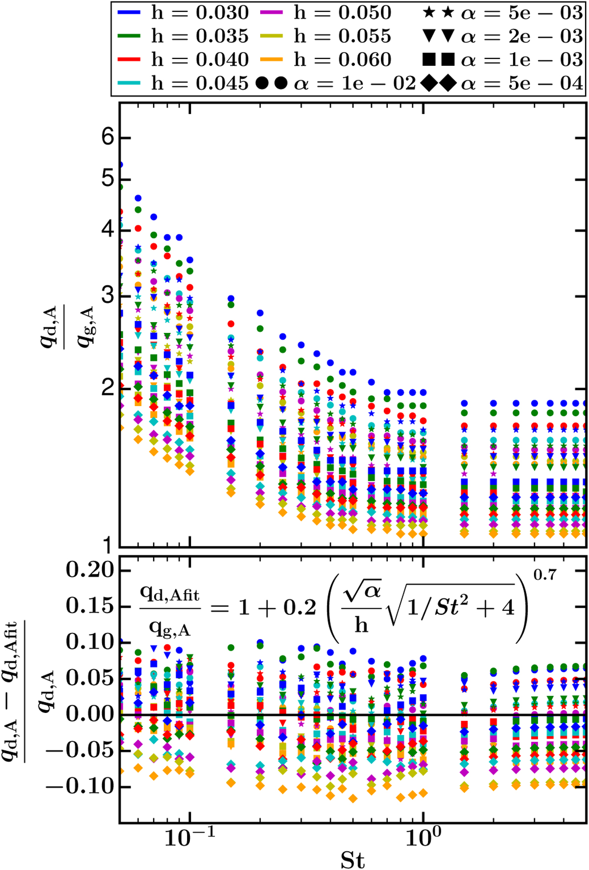
Fig. 7

image

Semi-analytical calculation showing the dependence of the PIM on dust turbulent diffusion, using the method in Sect. 3. Upper panel: ratio between the normalized PIM with dust turbulent diffusion (qd,A) and that without (qg,A), as a functionof the particles Stokes number. Both qg,A and qd,A are calculated using the analytical gap density profile of Duffell (2015). Lower panel: relative difference between the normalized PIM obtained with our semi-analytical calculation (qd,a) and that obtained with our fitting formula (qd,A fit, Eq. (11)).

Current usage metrics show cumulative count of Article Views (full-text article views including HTML views, PDF and ePub downloads, according to the available data) and Abstracts Views on Vision4Press platform.

Data correspond to usage on the plateform after 2015. The current usage metrics is available 48-96 hours after online publication and is updated daily on week days.

Initial download of the metrics may take a while.