Free Access

Fig. 4

image

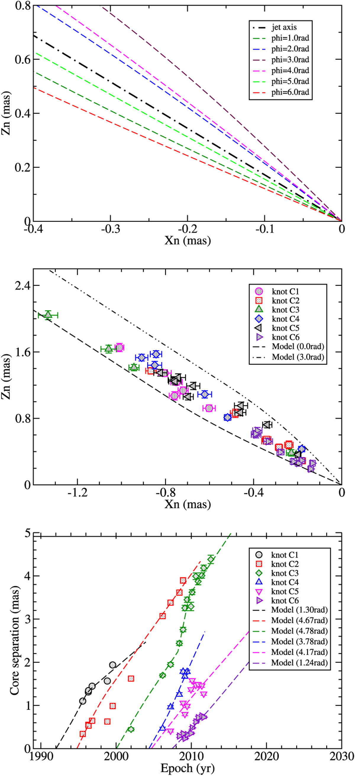
Upper panel: modeled distribution of the trajectory of the precessing nozzle model for the inner jet regions. ϕ = 1.0, 2.0, 3.0, 4.0, 5.0, and 6.0 rad. The common trajectory rotates around the precession axis anticlockwise viewed along the axis. The precession axis is at position angle of 30.1°. Middle panel: distribution of the observed trajectories of knots C1–C6 in the plane of the sky. Bottom panel: model fitting of the core separations for knots C1–C6. The model fitting of their kinematics are shown individually in Figs. 510.

Current usage metrics show cumulative count of Article Views (full-text article views including HTML views, PDF and ePub downloads, according to the available data) and Abstracts Views on Vision4Press platform.

Data correspond to usage on the plateform after 2015. The current usage metrics is available 48-96 hours after online publication and is updated daily on week days.

Initial download of the metrics may take a while.