Free Access

Fig. 5

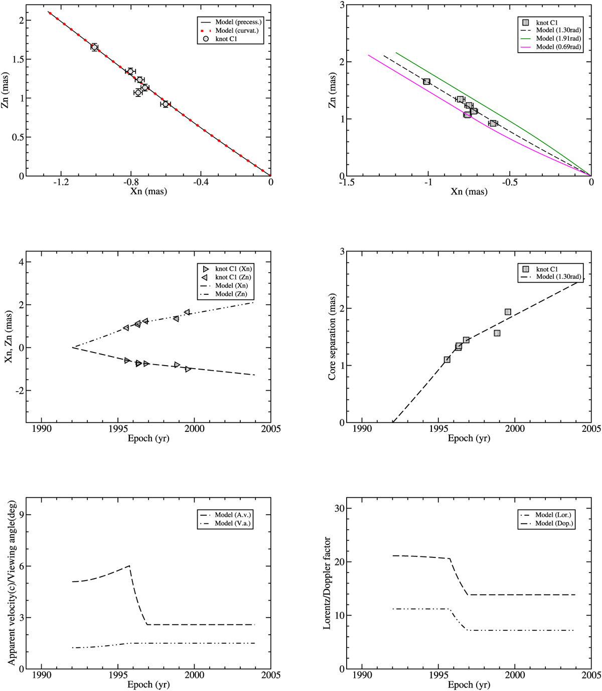
image

Model fitting results of the kinematics for knot C1. It moves along the modeled precessing common trajectory during the whole observation period (core separation rn < 2 mas). In the upper right panel two additional modeled trajectories (green and magneta lines) calculated for the modeled ejection epoches t0 ± 0.5 yr (or ϕ ± 0.61 rad) are also shown, demonstrating that most of the observation data points are within the position angle range defined by the two additional modeled trajectories and the precession period is determined within an uncertainty of ~ ± 0.5 yr.

Current usage metrics show cumulative count of Article Views (full-text article views including HTML views, PDF and ePub downloads, according to the available data) and Abstracts Views on Vision4Press platform.

Data correspond to usage on the plateform after 2015. The current usage metrics is available 48-96 hours after online publication and is updated daily on week days.

Initial download of the metrics may take a while.