Open Access

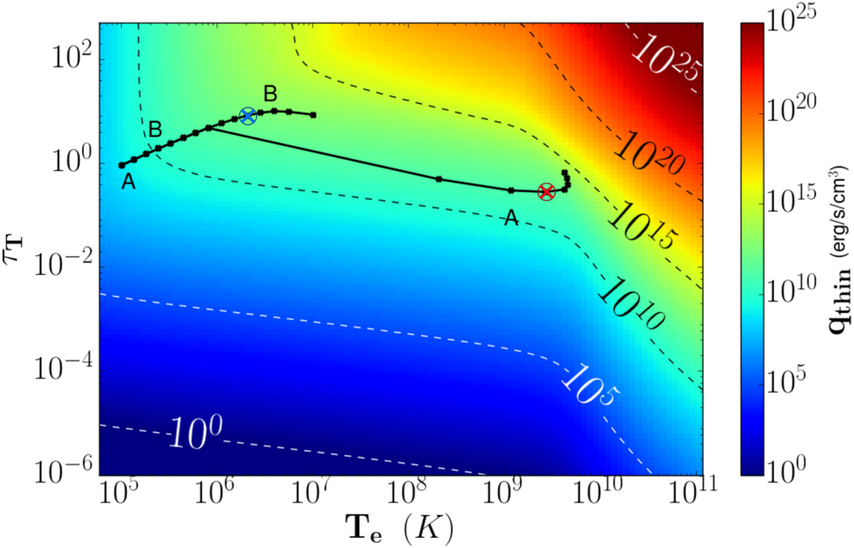
Fig. A.1

image

Map of interpolated optically thin radiative cooling term qthin (see Sect. 2.3.4) as a function of optical depth τT and electron central temperature Te, computed for μ = 0.1. The solid lines show the path in the TeτT plane followed by the two configurations A and B of the JED solution described in Sect. 3.1. Each dot along the lines corresponds to the radius where the disk thermal state has been computed, and the two cross markers correspond to the thick-disk (red) and thin-disk (blue) solution at r = 30 (see text).

Current usage metrics show cumulative count of Article Views (full-text article views including HTML views, PDF and ePub downloads, according to the available data) and Abstracts Views on Vision4Press platform.

Data correspond to usage on the plateform after 2015. The current usage metrics is available 48-96 hours after online publication and is updated daily on week days.

Initial download of the metrics may take a while.