Open Access

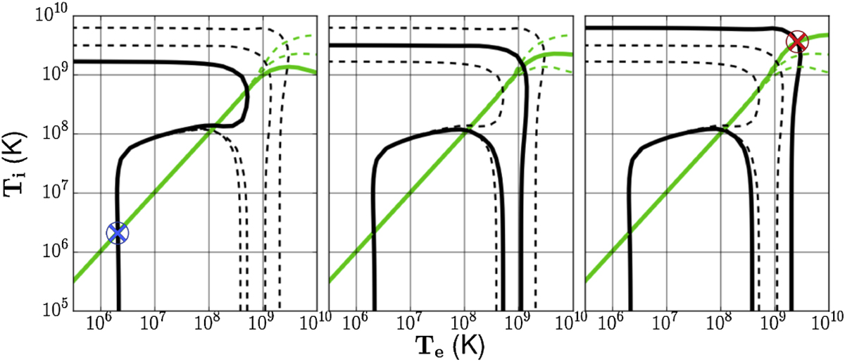
Fig. A.2

image

Zeros of Eq. (A.1) in black and Eq. (A.2) in green for each different dynamical solution at radius r = 30 for the disk configuration from Sect. 3.1. From left to right: thin disk, unstable disk, and thick disk. The zeros of the other dynamical solutions are displayed as dotted-lines for comparison.

Current usage metrics show cumulative count of Article Views (full-text article views including HTML views, PDF and ePub downloads, according to the available data) and Abstracts Views on Vision4Press platform.

Data correspond to usage on the plateform after 2015. The current usage metrics is available 48-96 hours after online publication and is updated daily on week days.

Initial download of the metrics may take a while.