Open Access

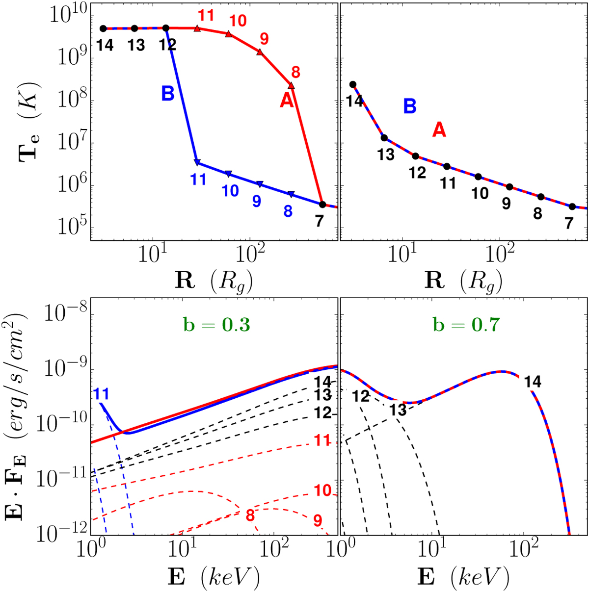
Fig. 5

image

Effect of the jet power fraction b on a JED configuration fed with in = 0.5 at rin = 3, b = 0.3 (left) and b = 0.7 (right). The top panels show the electron temperature, and the bottom panels display the local spectra emitted by each radius (numbered dashed lines) and the corresponding total disk spectrum (solid line), according to each configuration A (red) and B (blue). When configurations A and B are identical, blue-red dashed lines are used.

Current usage metrics show cumulative count of Article Views (full-text article views including HTML views, PDF and ePub downloads, according to the available data) and Abstracts Views on Vision4Press platform.

Data correspond to usage on the plateform after 2015. The current usage metrics is available 48-96 hours after online publication and is updated daily on week days.

Initial download of the metrics may take a while.