Open Access

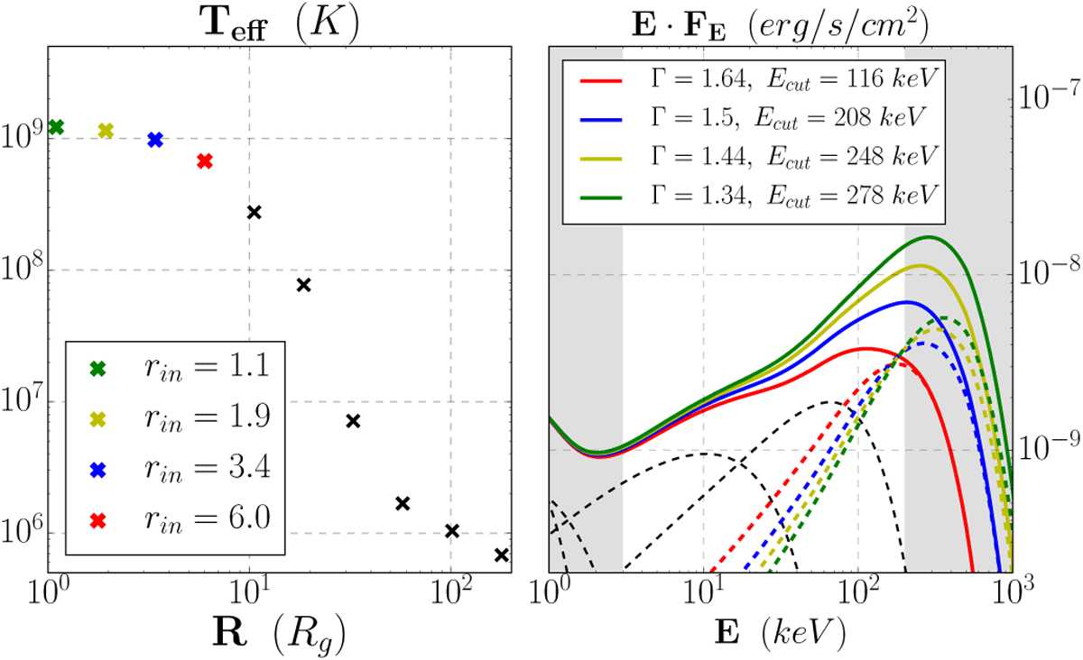
Fig. 8

image

Slim, optically thick JED configuration with in = 2 at rin = 1 and (μ = 0.1, ξ = 0.1, ms = 1.5, b = 0.3). Left: Effective temperature as a function of the radius. Right: Spectrum emitted at each disk radius r (dashed lines, same color code as in the left panel). The solid lines are the overall disk spectra, i.e., the sum of the contributions from each disk annulus down to the inner radius rin. The inset shows the corresponding photon index Γ and high-energy cutoff Ecut, obtained with a fit E2−Γe−(EEcut).

Current usage metrics show cumulative count of Article Views (full-text article views including HTML views, PDF and ePub downloads, according to the available data) and Abstracts Views on Vision4Press platform.

Data correspond to usage on the plateform after 2015. The current usage metrics is available 48-96 hours after online publication and is updated daily on week days.

Initial download of the metrics may take a while.