Press Release
Free Access

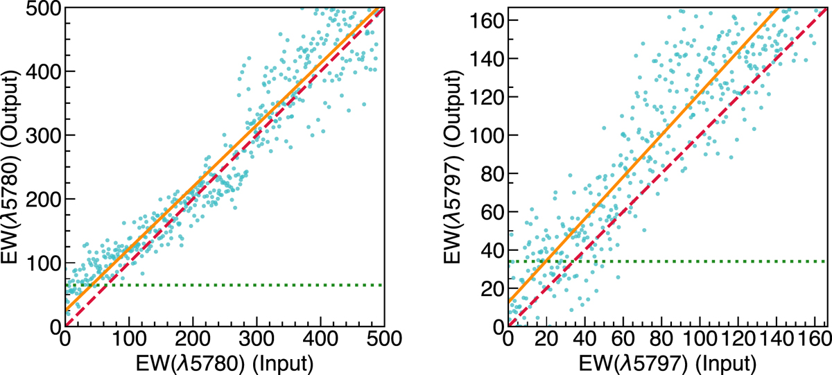
Fig. 5.

image

Results for mock data. Measured equivalent width in mÅ as a function of the input in the mock data (left: EW(λ5780); right: EW(λ5797)). The continuous orange line shows the one-degree polynomial fit while the red dashed line shows the one-to-one relationship. Our adopted limit for DIB detection is marked with a dotted green line.

Current usage metrics show cumulative count of Article Views (full-text article views including HTML views, PDF and ePub downloads, according to the available data) and Abstracts Views on Vision4Press platform.

Data correspond to usage on the plateform after 2015. The current usage metrics is available 48-96 hours after online publication and is updated daily on week days.

Initial download of the metrics may take a while.