Free Access

Fig. 3

image

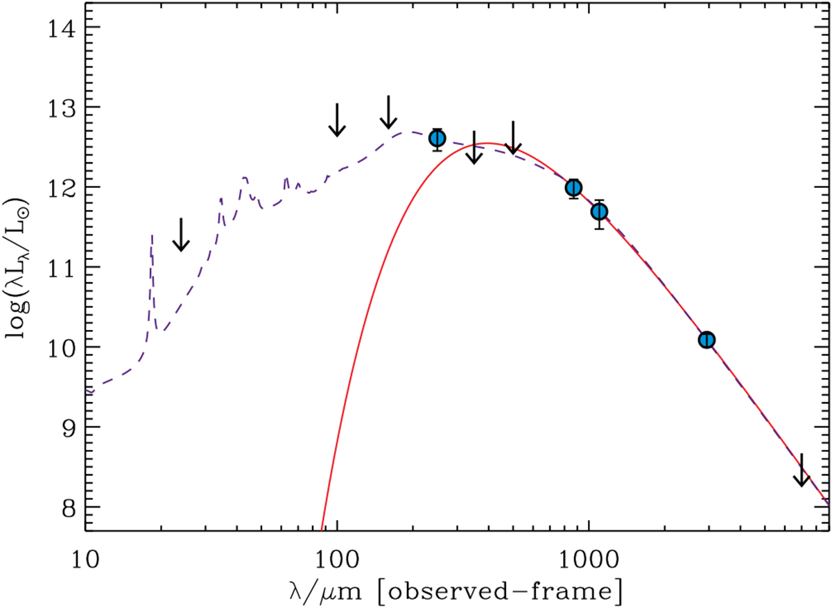
Broadband SED of AzTEC/C159. The best-fit Draine & Li (2007) model is shown with the blue dashed line. A modified blackbody (red line) is used to fit the FIR-to-millimeter data points. The monochromatic flux densities from Herschel PACS/SPIRE and JCMT/AzTEC observations used in the fit are listed as follows: S100μm< 6.8 mJy, S160μm< 13.6 mJy, S250μm= 6.2 ± 1.9 mJy, S350μm< 10.8 mJy, S500μm< 20.4 mJy, and S1.1mm = 3.3 ± 1.3 mJy (Smolčić et al. 2015). We add three more submillimeter/millimeter data points from our observations: S870μm= 6.9 ± 0.2 mJy (GG18), S3mm = 220 ± 40μ Jy, and S7mm < 20μ Jy. The downward-pointing arrows denote upper limits to the corresponding flux densities.

Current usage metrics show cumulative count of Article Views (full-text article views including HTML views, PDF and ePub downloads, according to the available data) and Abstracts Views on Vision4Press platform.

Data correspond to usage on the plateform after 2015. The current usage metrics is available 48-96 hours after online publication and is updated daily on week days.

Initial download of the metrics may take a while.