Free Access

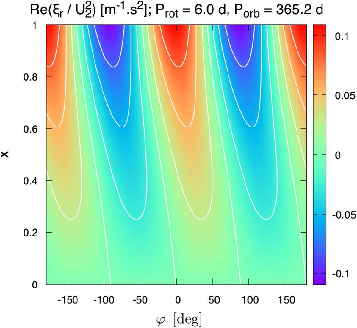
Fig. 4

image

Vertical displacement due to the quadrupolar semidiurnal tide (, norb being the dynamical frequency) obtained using the analytic solution established for the thin layer approximation (Eq. (58)). The displacement, normalized by the quadrupolar tidal potential, is plotted in the equatorial plane of the planet as a function of longitude (horizontal axis) and normalized altitude (vertical axis). The position φ = 0 corresponds to the sub-perturber point; the oceanic floor and surface are located at x = 0 and x = 1, respectively. For this computation, the rotation period of the planet Pspin = 2π∕Ω and orbital period of the perturber Porb = 2πnorb are set to Pspin = 6.0 d and Porb = 365.25 d. The used values of parameters are R = R, H = 100 km, g = 9.81 m s−2, N = 10−3 s−1, cs = 1545 m s−1 and σR= 10−5 s−1.

Current usage metrics show cumulative count of Article Views (full-text article views including HTML views, PDF and ePub downloads, according to the available data) and Abstracts Views on Vision4Press platform.

Data correspond to usage on the plateform after 2015. The current usage metrics is available 48-96 hours after online publication and is updated daily on week days.

Initial download of the metrics may take a while.