Free Access

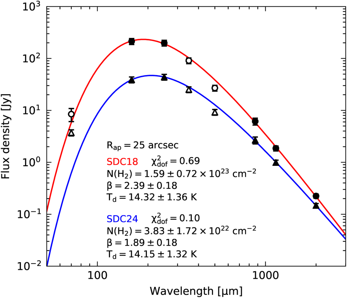
Fig. 3

image

SED fits for the main clumps in SDC18 (red) and SDC24 (blue), along with the best fitparameters. The aperture photometry measurements are shown as filled circles for SDC18 and filled triangles for SDC24. We show the measurements at 70, 350 and 500 μm that were not used in the fitting procedure as empty symbols.

Current usage metrics show cumulative count of Article Views (full-text article views including HTML views, PDF and ePub downloads, according to the available data) and Abstracts Views on Vision4Press platform.

Data correspond to usage on the plateform after 2015. The current usage metrics is available 48-96 hours after online publication and is updated daily on week days.

Initial download of the metrics may take a while.