Free Access

Fig. 1

image

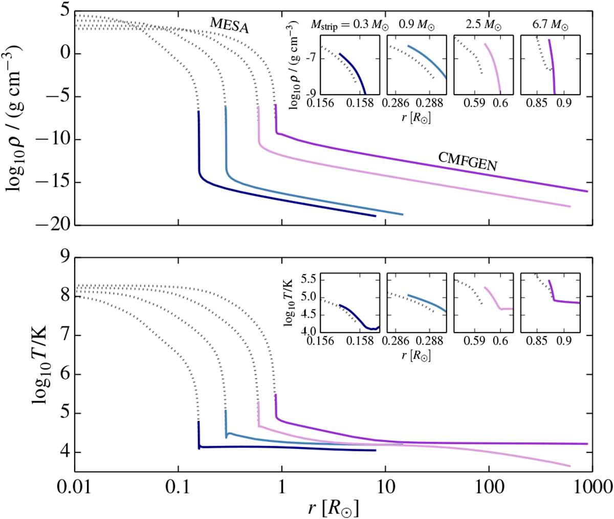
Density (top panel) and temperature (bottom panel) structure shown with the radial coordinate for the four stripped stars with masses 0.3, 0.8, 2.5 and 6.7 M (corresponding to initial masses of 2, 4, 9 and 18 M, respectively). Dotted lines show the interior structures computed with MESA. Solid lines show the atmospheres computed with CMFGEN. Inset panels show a zoom-in on the location where the structure and atmosphere models are connected. These models have solar metallicity.

Current usage metrics show cumulative count of Article Views (full-text article views including HTML views, PDF and ePub downloads, according to the available data) and Abstracts Views on Vision4Press platform.

Data correspond to usage on the plateform after 2015. The current usage metrics is available 48-96 hours after online publication and is updated daily on week days.

Initial download of the metrics may take a while.