Free Access

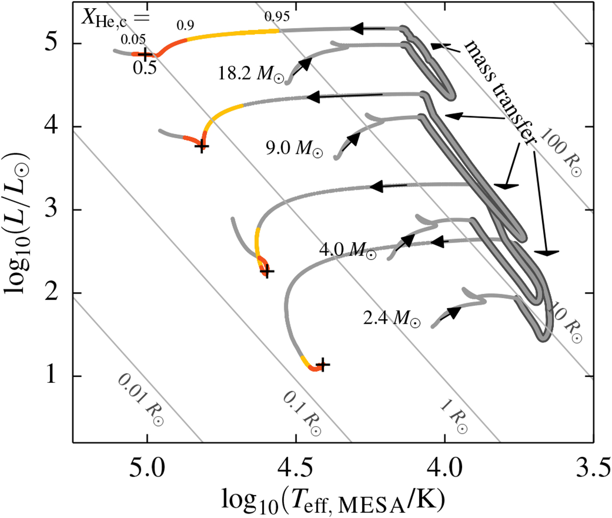
Fig. 2

image

Hertzsprung–Russell diagram showing the evolutionary tracks of models with initial masses of 2.4, 4, 9 and 18 M. Arrows along the tracks indicate the direction of evolution. The resulting stripped stars have masses of 0.44, 0.8, 2.5 and 6.7 M. Mass transfer is marked with an underlying thick, gray line. Helium core burning is marked with yellow and dark orange color corresponding to the central helium mass fractions in the ranges 0.95 > XHe,c > 0.9 and 0.9 > XHe,c > 0.05, respectively.These models have solar metallicity.

Current usage metrics show cumulative count of Article Views (full-text article views including HTML views, PDF and ePub downloads, according to the available data) and Abstracts Views on Vision4Press platform.

Data correspond to usage on the plateform after 2015. The current usage metrics is available 48-96 hours after online publication and is updated daily on week days.

Initial download of the metrics may take a while.