Free Access

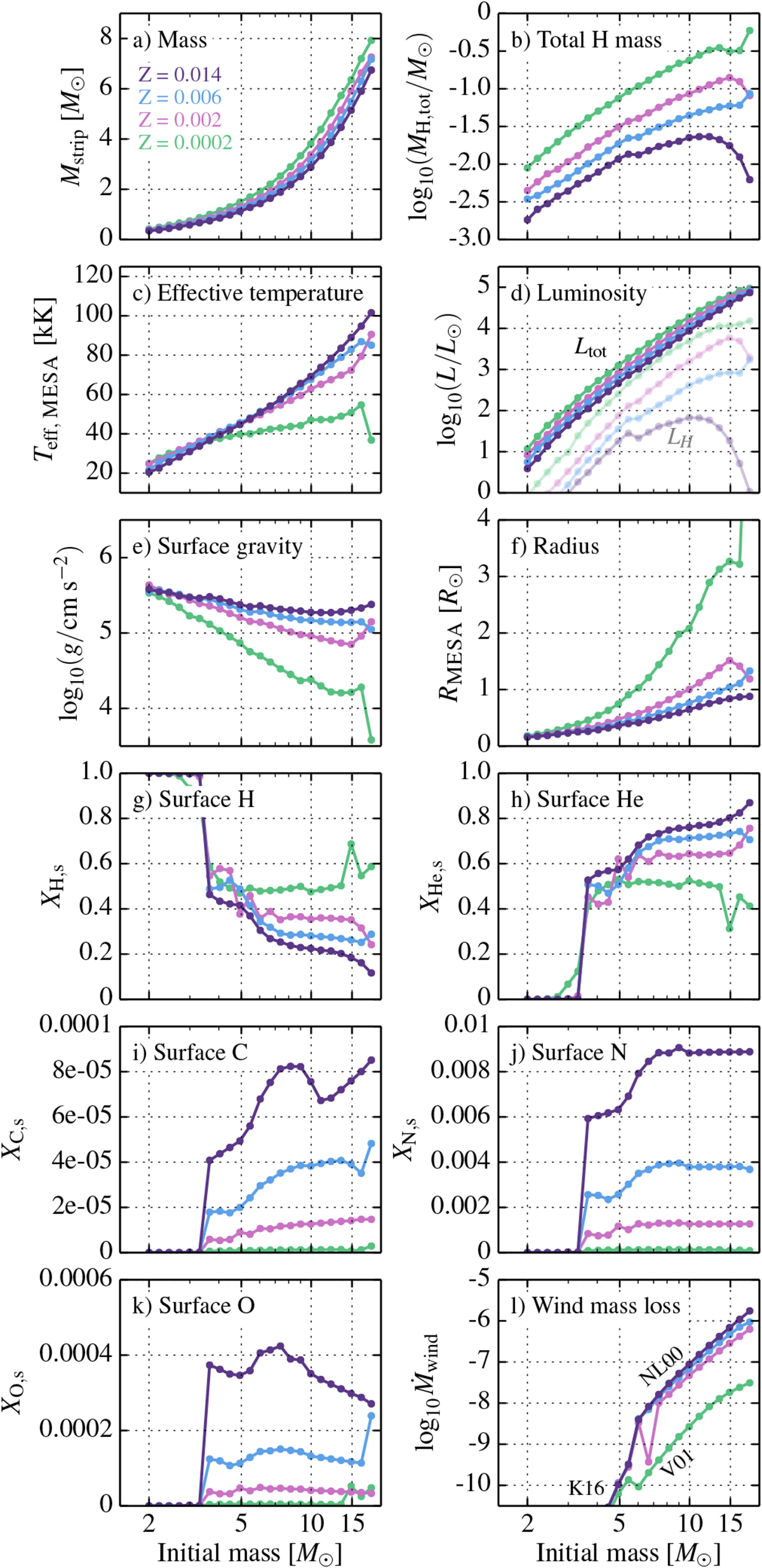
Fig. 3

image

Properties of stripped stars shown as a function of initial mass, for different metallicities. The parameters plotted here are derived from our evolutionary calculations with MESA, before inclusion of an atmosphere. Panel b: total amount of pure hydrogen left after stripping, which remains in a layer consisting of helium and hydrogen at the surface. Panel d: total luminosity Ltot as well as the luminosity resulting from the hydrogen-burning shell alone LH in lighter colors. The labels in panel l indicate thewind mass-loss rates that are used, where NL00, V01 and K16 stand for Nugis & Lamers (2000), Vink et al. (2001) and Krtička et al. (2016), respectively.

Current usage metrics show cumulative count of Article Views (full-text article views including HTML views, PDF and ePub downloads, according to the available data) and Abstracts Views on Vision4Press platform.

Data correspond to usage on the plateform after 2015. The current usage metrics is available 48-96 hours after online publication and is updated daily on week days.

Initial download of the metrics may take a while.