Free Access

Fig. 4

image

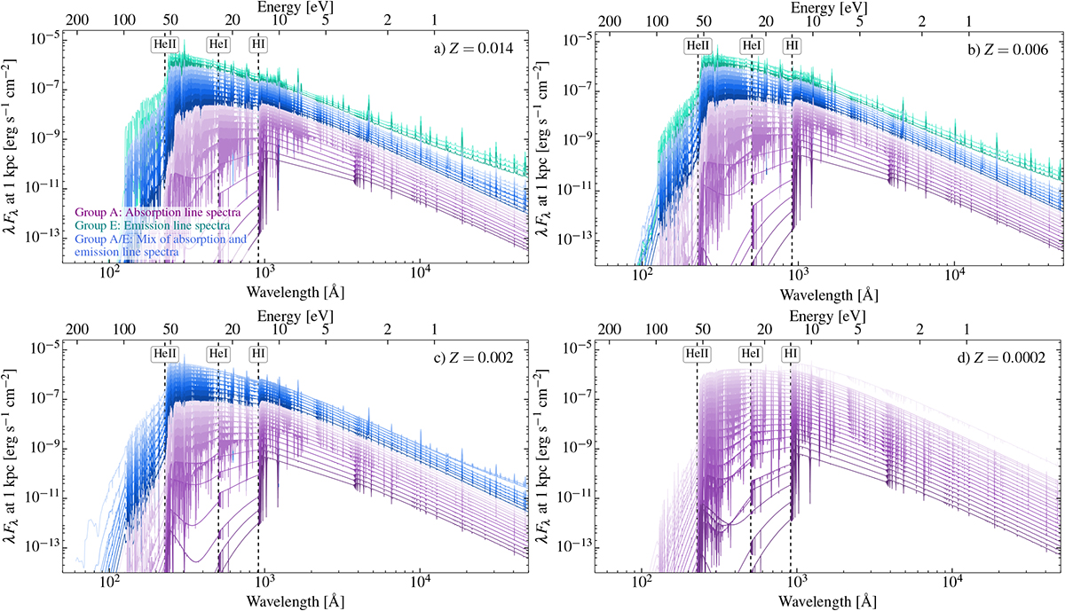
Spectral energy distributions of stripped stars with different metallicities. The masses of the stripped stars range from 0.35 M up to 6.7 M. Colors indicate the different groups with morphological similarities: Group A: absorption line spectra (purple), Group E: emission line spectra (green), and Group A/E: spectra with a mix of absorption and emission lines (blue). We mark the ionization limits of HI, HeI and HeII with dashed lines.

Current usage metrics show cumulative count of Article Views (full-text article views including HTML views, PDF and ePub downloads, according to the available data) and Abstracts Views on Vision4Press platform.

Data correspond to usage on the plateform after 2015. The current usage metrics is available 48-96 hours after online publication and is updated daily on week days.

Initial download of the metrics may take a while.