Free Access

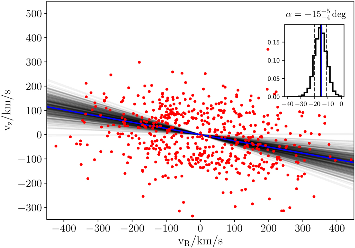
Fig. 10

image

Distribution of stars with − 5 ≲ z∕kpc ≤−1 in the dynamically selected stellar halo on the vRvz subspace. Each black line represents the orientation of the velocity ellipsoid in this subspace as given by one sample in the MCMC chain. The inset shows the marginalized distribution of the angular slope of the black lines (tilt-angle). The blue line marks the expected orientation for a spherically aligned velocity ellipsoid.

Current usage metrics show cumulative count of Article Views (full-text article views including HTML views, PDF and ePub downloads, according to the available data) and Abstracts Views on Vision4Press platform.

Data correspond to usage on the plateform after 2015. The current usage metrics is available 48-96 hours after online publication and is updated daily on week days.

Initial download of the metrics may take a while.