Free Access

Fig. 11

image

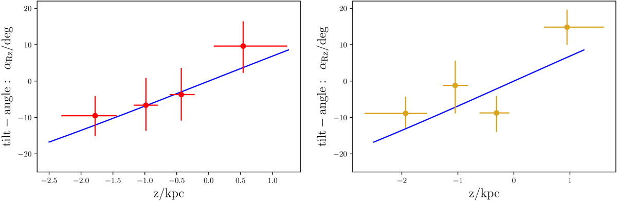
Tilt-angle αRz as a function of height above the Galactic plane for the dynamically selected stellar halo (red circles, left panel) and the metallicity selected stellar halo (yellow circles, right panel). Each bin in z contains roughly the same number of stars (≃185 and ≃ 175 respectively for the two halos). The value of αRz and its uncertainty are estimated using a multivariate normal model as in Sect. 4.3, while the error bars in z indicate the 16th–84th percentile of the z distribution in that bin. The blue solid line indicates a model in which the halo’s velocity ellipsoid is aligned with the spherical coordinates.

Current usage metrics show cumulative count of Article Views (full-text article views including HTML views, PDF and ePub downloads, according to the available data) and Abstracts Views on Vision4Press platform.

Data correspond to usage on the plateform after 2015. The current usage metrics is available 48-96 hours after online publication and is updated daily on week days.

Initial download of the metrics may take a while.