Free Access

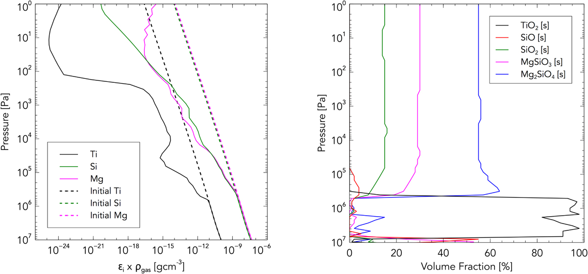
Fig. 9

image

Download original image

Chemistry in the hot HD 209458 b atmosphere: depletion of elemental abundances and volume contribution of dust species at tcloud = 50 days (see Table 1 and Sect. 2.6). Panel a: Zonal and meridional mean, density scaled, elemental abundances of Ti, Si, and Mg. The initial, undepleted values are the solar element abundances. Panel b: Zonal and meridional mean dust volume fractions.

Current usage metrics show cumulative count of Article Views (full-text article views including HTML views, PDF and ePub downloads, according to the available data) and Abstracts Views on Vision4Press platform.

Data correspond to usage on the plateform after 2015. The current usage metrics is available 48-96 hours after online publication and is updated daily on week days.

Initial download of the metrics may take a while.