Free Access

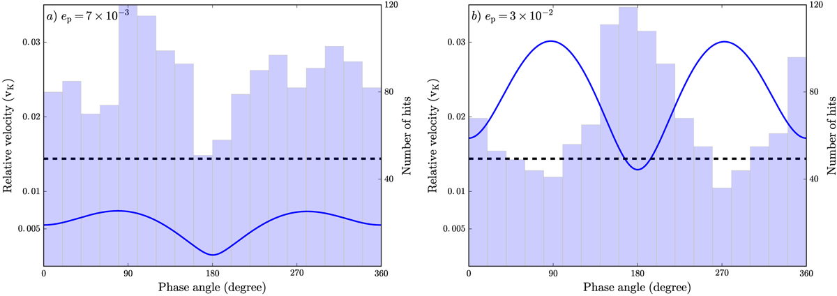
Fig. 4

image

Relative velocity between the planet and pebbles (dark blue line) and number of accreted pebbles (light blue bars) as function of the planet’s orbital phase angle. Perihelion is at 0° and aphelionis at 180°. The planet eccentricity is ep = 0.007 in the left panel and ep = 0.03 in the right panel. Other parameters are the same for the two panels: Mp = 0.01 M, M = 1 M, τs = 10−2, vhw = 60 m s−1 and Ntot = 300 × 300. The black dashed line represents the transition velocity from the settling to the ballistic accretion, v = v* (Eq. (13)).

Current usage metrics show cumulative count of Article Views (full-text article views including HTML views, PDF and ePub downloads, according to the available data) and Abstracts Views on Vision4Press platform.

Data correspond to usage on the plateform after 2015. The current usage metrics is available 48-96 hours after online publication and is updated daily on week days.

Initial download of the metrics may take a while.