Free Access

Fig. 6

image

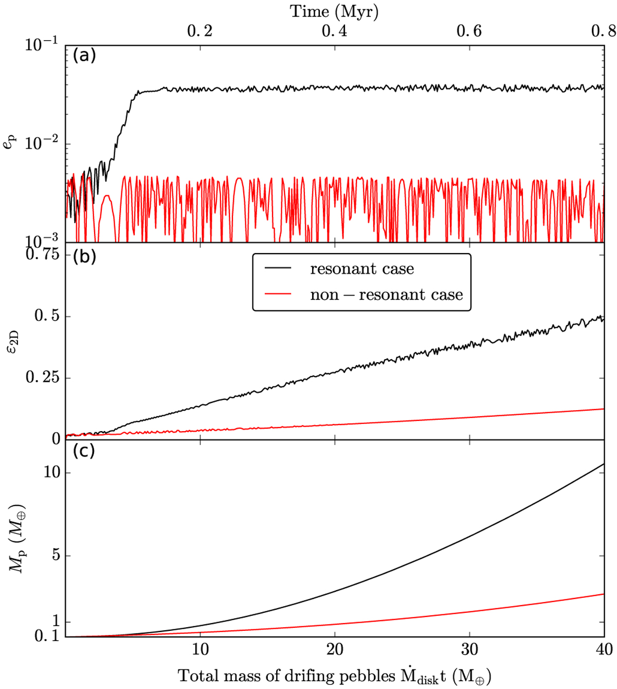
Eccentricity (panel a), pebble accretion efficiency (panel b) and mass of the embryo (panel c) vs total mass of drifting pebbles (lower x-axis) and time (upper x-axis). The black line corresponds to the resonant case with type I migration and resonance trapping, while the red line represents the non-resonant, comparison case that the embryo without type I migration moves on a nearly circular orbit.

Current usage metrics show cumulative count of Article Views (full-text article views including HTML views, PDF and ePub downloads, according to the available data) and Abstracts Views on Vision4Press platform.

Data correspond to usage on the plateform after 2015. The current usage metrics is available 48-96 hours after online publication and is updated daily on week days.

Initial download of the metrics may take a while.