Free Access

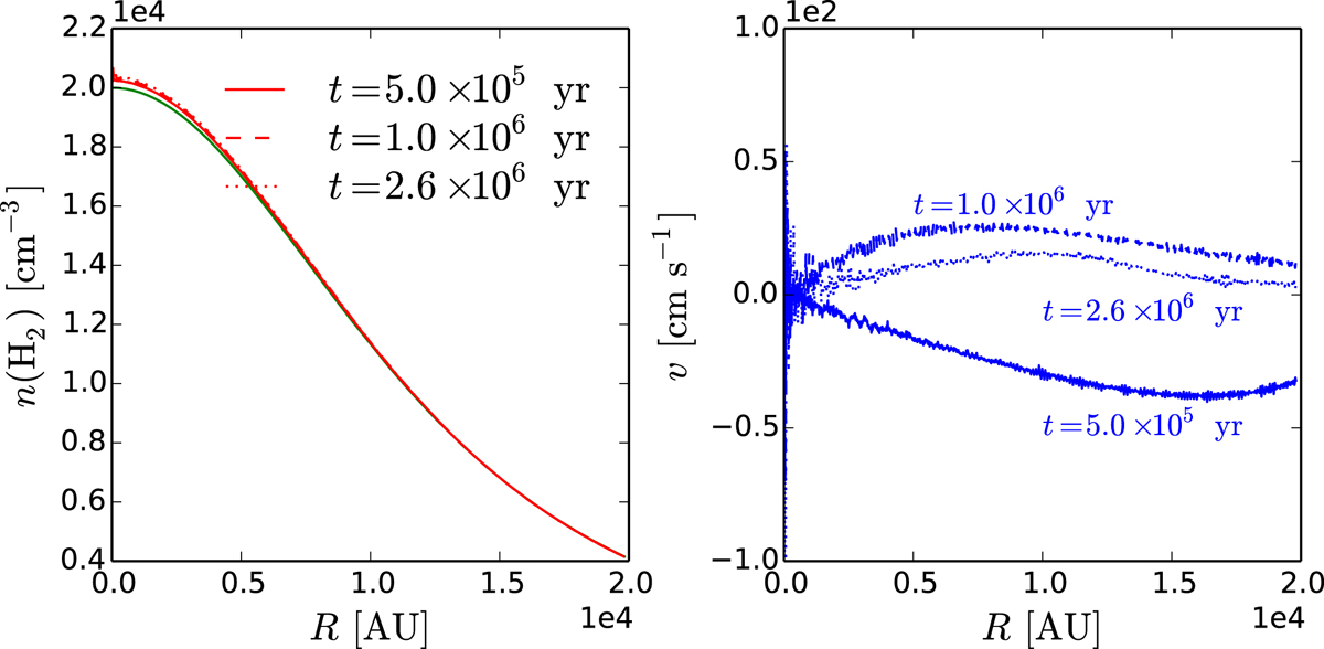
Fig. 1.

image

Density (left panel) and velocity profiles (right panel) of a stable BES at different times, indicated in the figure. The green line shows the initial density profile. The velocity is initially zero across the core.

Current usage metrics show cumulative count of Article Views (full-text article views including HTML views, PDF and ePub downloads, according to the available data) and Abstracts Views on Vision4Press platform.

Data correspond to usage on the plateform after 2015. The current usage metrics is available 48-96 hours after online publication and is updated daily on week days.

Initial download of the metrics may take a while.