Free Access

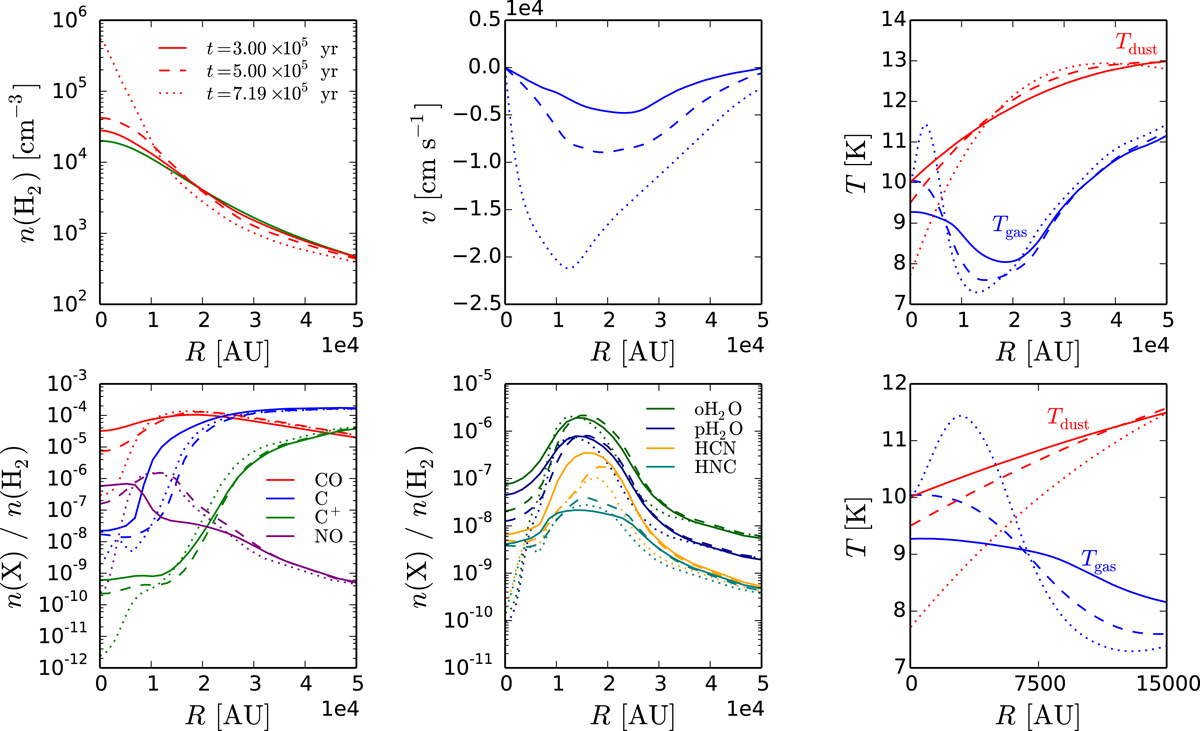
Fig. 3.

image

Upper left: density profiles of the collapsing model core at different times, indicated in the figure. The green line shows the initial density profile. Upper middle: infall velocity profile of the model core at different times. Upper right: gas (blue) and dust (red) temperatures as functions of radius at different times. Lower left and lower middle: abundances of the cooling molecules as functions of radius at different times. Lower right: gas and dust temperatures at different times, zoomed into the innermost 15 000 AU of the core.

Current usage metrics show cumulative count of Article Views (full-text article views including HTML views, PDF and ePub downloads, according to the available data) and Abstracts Views on Vision4Press platform.

Data correspond to usage on the plateform after 2015. The current usage metrics is available 48-96 hours after online publication and is updated daily on week days.

Initial download of the metrics may take a while.