Free Access

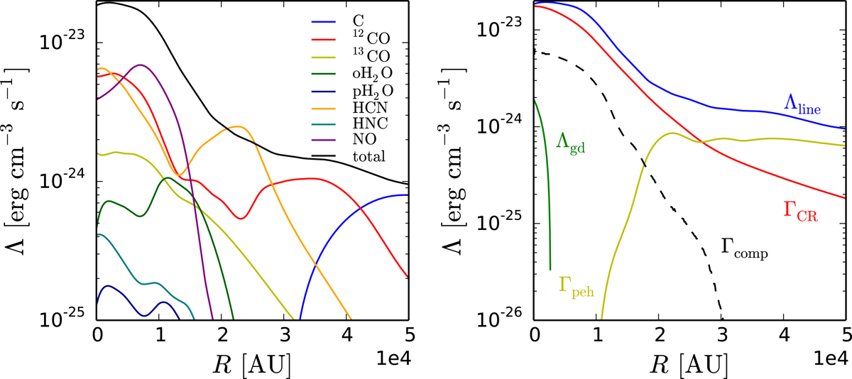
Fig. 4.

image

Left: cooling powers of the included cooling molecules as functions of radius. The total line cooling power (Λline) is also shown in black. Right: breakdown of the cooling and heating terms (indicated in the figure; see also Sect. 2.2) as a function of radius. Γcomp denotes the first term in Eq. (5), that is, heating/cooling by gas compression/expansion, converted to the same units as the other heating and cooling terms (positive values indicate heating). The plots correspond to t = 5 × 105 yr.

Current usage metrics show cumulative count of Article Views (full-text article views including HTML views, PDF and ePub downloads, according to the available data) and Abstracts Views on Vision4Press platform.

Data correspond to usage on the plateform after 2015. The current usage metrics is available 48-96 hours after online publication and is updated daily on week days.

Initial download of the metrics may take a while.