Free Access

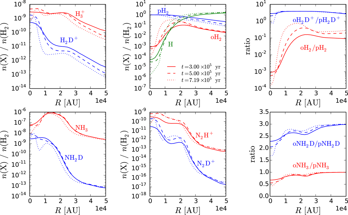
Fig. 5.

image

Abundances (with respect to H2) and abundance ratios of various species in the collapsing model core at different times, indicated in the figure, as functions of radius. The abundances of the species represent sums over their respective spin states, when applicable, unless the spin state is explicitly displayed.

Current usage metrics show cumulative count of Article Views (full-text article views including HTML views, PDF and ePub downloads, according to the available data) and Abstracts Views on Vision4Press platform.

Data correspond to usage on the plateform after 2015. The current usage metrics is available 48-96 hours after online publication and is updated daily on week days.

Initial download of the metrics may take a while.