Free Access

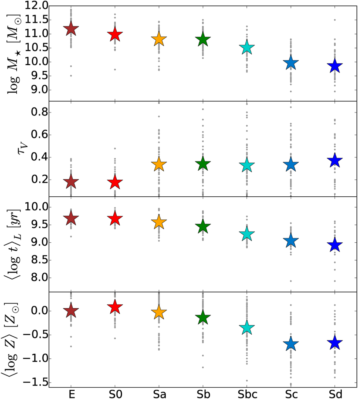
Fig. 2

image

Global stellar population properties as a function of the Hubble type obtained with a delayed-τ model and Chabrier IMF. From top to bottom we show the galaxy stellar mass (M), attenuation (τV), light-weighted averaged age (), and stellar metallicity (⟨log Z⟩). The individual galaxy values are plotted as gray dots, and the average values for each Hubble type are shown as color-coded stars.

Current usage metrics show cumulative count of Article Views (full-text article views including HTML views, PDF and ePub downloads, according to the available data) and Abstracts Views on Vision4Press platform.

Data correspond to usage on the plateform after 2015. The current usage metrics is available 48-96 hours after online publication and is updated daily on week days.

Initial download of the metrics may take a while.