Free Access

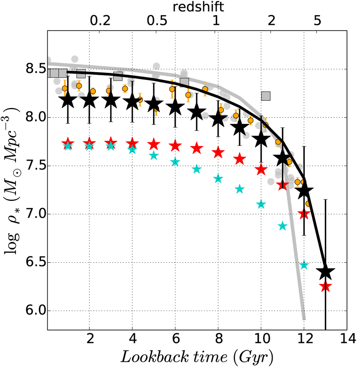
Fig. 8

image

Cosmic evolution of the stellar mass volume density, ρ (black stars), obtained with M(t) (corrected for mass loss); (black line) obtained with (t) (mass formed). Orange points are from the GAMA survey by Driver et al. (2017). The gray line is from Madau & Dickinson (2014), gray squares are from Panter et al. (2007), and gray dots are from different galaxy surveys as explained in the text. Blue and red stars represent the contribution to ρ from the galaxy outer regions, 1 ≤ R ≤ 2 HLR, and inner regions, R ≤ 0.5 HLR, respectively.

Current usage metrics show cumulative count of Article Views (full-text article views including HTML views, PDF and ePub downloads, according to the available data) and Abstracts Views on Vision4Press platform.

Data correspond to usage on the plateform after 2015. The current usage metrics is available 48-96 hours after online publication and is updated daily on week days.

Initial download of the metrics may take a while.