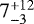
Table 7
Thermal emission properties.
| Pulsar name | τ | RPC | Bd | d | kT | RBB | Lbol | Ref. |
|---|---|---|---|---|---|---|---|---|
| Myr | m | 1012 G | kpc | keV | m | erg s−1 | ||
| B0114+58 | 0.28 | 455 | 0.8 | 1.77 ± 0.53b | 0.17 ± 0.02 | (1) | ||
| J0633+1746 | 0.34 | 297 | 1.6 | 0.16 ± 0.03 | 64 ± 16 | (2) | ||
| B0656+14 | 0.11 | 233 | 4.7 | 0.28 ± 0.03a | 0.108 ± 0.003 | 1813 ± 151 | (1.4 ± 0.4) × 1031 | (2) |
| B0943+10 | 4.98 | 138 | 2.0 | 0.89 ± 0.27b | 0.245 ± 0.025 | (3) | ||
| B1055−52 | 0.54 | 326 | 1.1 | 0.35 ± 0.15c | 0.154 ± 0.005 | 215 ± 28 | (2) | |
| J1740+1000 | 0.11 | 369 | 2.7 | 1.23 ± 0.37b | (4) | |||
| B1822−09 | 0.23 | 165 | 6.4 | (5) | ||||
| B1929+10 | 3.10 | 304 | 0.5 | (6) | ||||
| B0355+54 | 0.56 | 366 | 0.8 | ~0.16 | ~250 | (7) | ||
| B0628−28 | 2.77 | 130 | 3.0 | (1) | ||||
| B0834+06 | 2.97 | 128 | 3.0 | 0.19 ± 0.06b | (8) |
Notes. (a) Parallax measurements (Verbiest et al. 2012). (b)Inferred from the dispersion measure (Yao et al. 2017). Assumed error 30%. (c) Mignani et al. (2010). References: (1) this paper; (2) De Luca et al. (2005); (3) Mereghetti et al. (2016); (4) Kargaltsev et al. (2012); (5) Hermsen et al. (2017); (6) Misanovic et al. (2008); (7) Klingler et al. (2016); (8) Gil et al. (2008).
Current usage metrics show cumulative count of Article Views (full-text article views including HTML views, PDF and ePub downloads, according to the available data) and Abstracts Views on Vision4Press platform.
Data correspond to usage on the plateform after 2015. The current usage metrics is available 48-96 hours after online publication and is updated daily on week days.
Initial download of the metrics may take a while.