Free Access

Fig. 1

image

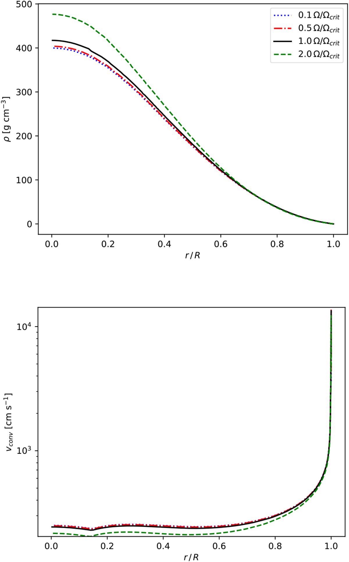
Density profile (top) and convection velocity profile (bottom) for DP Leo simulated by MESA for different rotation velocities. The ratio 1.0 Ω∕Ωcrit corresponds to the observed one and is ~0.288 for DP Leo.

Current usage metrics show cumulative count of Article Views (full-text article views including HTML views, PDF and ePub downloads, according to the available data) and Abstracts Views on Vision4Press platform.

Data correspond to usage on the plateform after 2015. The current usage metrics is available 48-96 hours after online publication and is updated daily on week days.

Initial download of the metrics may take a while.