Free Access

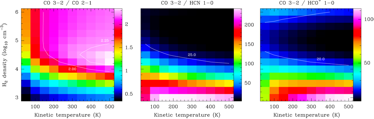
Fig. 3

image

Results of the RADEX analysis of the CO3−2/CO2−1, CO3−2/HCN 1−0, and CO3−2/HCO+ 1−0 brightness temperature ratios. The white curves and associated numbers indicate TB ratios toward the Eye of the Medusa of 2 and 2.25 for CO3−2/CO2−1, 25 for CO3−2/HCN 1−0, and 20 for CO3−2/HCO+ 1−0, respectively. The range in H2 densities and kinetic temperatures are the same for each of the three plots. The CO column density (N(CO)/Δv) is 1016 cm-2. The color scheme indicates possible brightness temperature ratios for each combination of tracers.

Current usage metrics show cumulative count of Article Views (full-text article views including HTML views, PDF and ePub downloads, according to the available data) and Abstracts Views on Vision4Press platform.

Data correspond to usage on the plateform after 2015. The current usage metrics is available 48-96 hours after online publication and is updated daily on week days.

Initial download of the metrics may take a while.