Free Access

Fig. 1

image

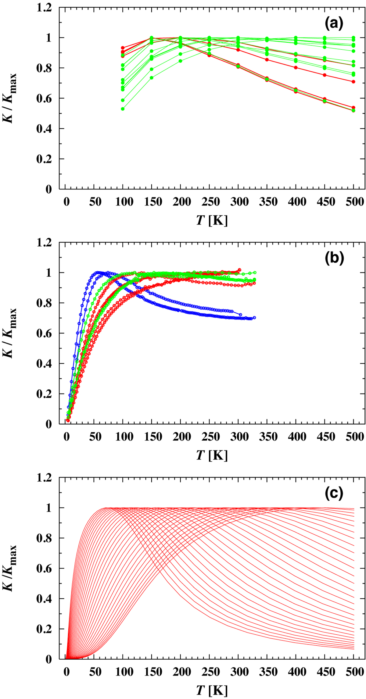
Temperature variation of heat conductivity of chondritic matter, normalised by its maximum value. Panel a: data from Yomogida & Matsui (1983) for H (red lines) and L (green lines) chondrites. Panel b: data from Opeil et al. (2012) for H (red lines), L (green lines), and E (blue lines) chondrites (data made kindly available to us by G. Consolmagno). Panel c: normalised heat conductivity calculated from theoretical model for varying contributions of scattering at walls to phonon scattering, from being negligible (the curves with a pronounced peak at low temperatures) to dominating wall scattering (curves with flat maximum).

Current usage metrics show cumulative count of Article Views (full-text article views including HTML views, PDF and ePub downloads, according to the available data) and Abstracts Views on Vision4Press platform.

Data correspond to usage on the plateform after 2015. The current usage metrics is available 48-96 hours after online publication and is updated daily on week days.

Initial download of the metrics may take a while.