Free Access

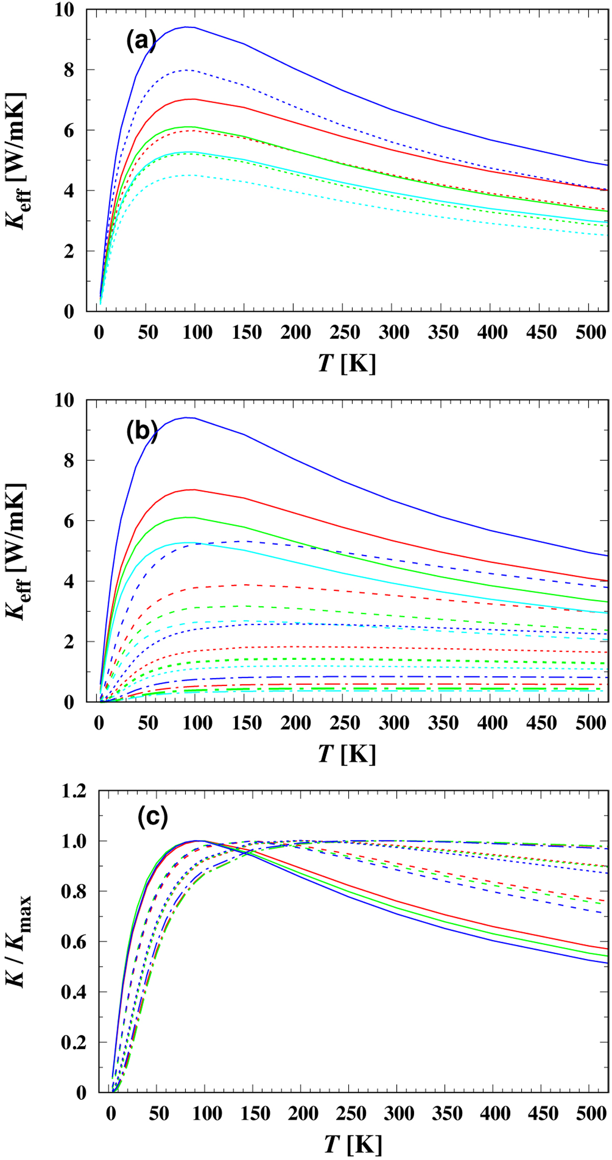
Fig. 4

image

Temperature variation of effective heat conductivity of chondritic material for types H (red), L (green), LL (cyan), and EH (blue). Panel a: effect of porosity. The solid line corresponds to fully compacted material, the dashed line to material with 10% porosity. Panel b: variation with enhanced scattering at surfaces or interfaces. Solid lines correspond to the contribution of the scattering term in Eq. (4) as derived from laboratory data, dashed lines to the enhancement of scattering by a factor of ten (long dashed), factor of 100 (short dashed), and a factor of 1000 (dash-dot). Panel c: as before, but values of Keff normalised by its maximum value.

Current usage metrics show cumulative count of Article Views (full-text article views including HTML views, PDF and ePub downloads, according to the available data) and Abstracts Views on Vision4Press platform.

Data correspond to usage on the plateform after 2015. The current usage metrics is available 48-96 hours after online publication and is updated daily on week days.

Initial download of the metrics may take a while.