Free Access

Fig. 4

image

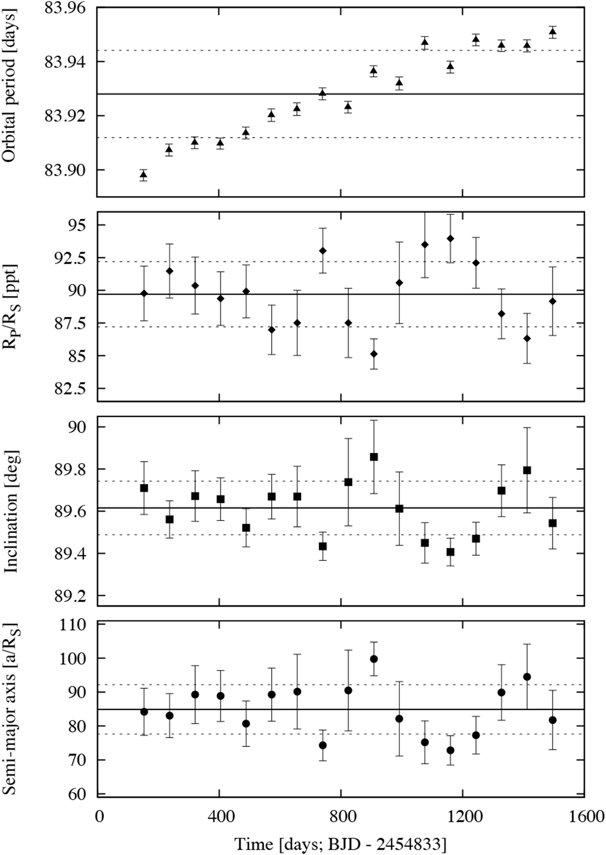
Time-dependent change in the transit parameters of KOI-0902.01. From top to bottom: orbital period in days (triangles); planet-to-star radius ratio, RPRS (diamonds); orbital inclination (squares), and semi-major axis in stellar radii, aRS. Horizontal continuous and dashed lines show mean and standard deviations of the system parameters, respectively. Individual errors are given at the 1-σ level.

Current usage metrics show cumulative count of Article Views (full-text article views including HTML views, PDF and ePub downloads, according to the available data) and Abstracts Views on Vision4Press platform.

Data correspond to usage on the plateform after 2015. The current usage metrics is available 48-96 hours after online publication and is updated daily on week days.

Initial download of the metrics may take a while.