Free Access

Fig. 6

image

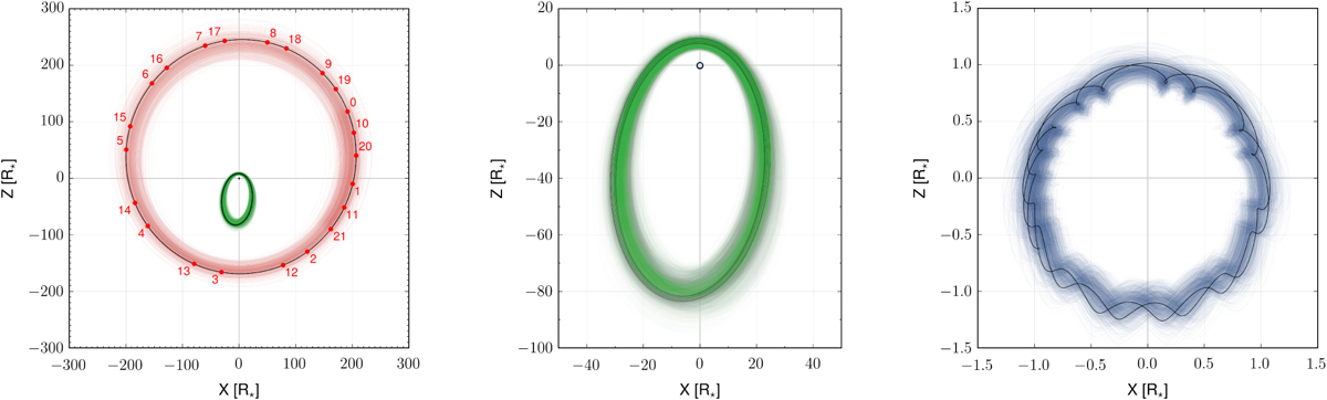
Orbital projections during the Kepler observations for planet b (green), planet c (red), and the star (blue). The origin is the system barycentre, the movement is clockwise, and the orbits are projected in the X-Z reference plane, with the positive Z-axis pointing towards the observer. The two rightmost panels are successive zooms of the panel on the left. A thousand random orbits are drawn form the posterior samples, and the MAP is shown as a black orbit. The red points in the leftmostpanel mark the position of planet c on the MAP orbit at the epochs of transits of planet b, numbered accordingly.

Current usage metrics show cumulative count of Article Views (full-text article views including HTML views, PDF and ePub downloads, according to the available data) and Abstracts Views on Vision4Press platform.

Data correspond to usage on the plateform after 2015. The current usage metrics is available 48-96 hours after online publication and is updated daily on week days.

Initial download of the metrics may take a while.