Free Access

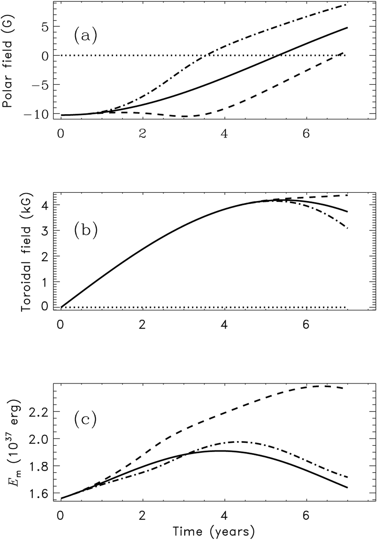
Fig. 1

image

Poloidal field at the northern pole (a), bottom toroidal field Bt at 15° latitude (b), and magnetic energy (c) in ascending phase of a magnetic cycle computed with perturbation in the α-effect imposed in a range of time between 0 yr and 2 yr. The full line shows the reference case of not varied α, the dashed line indicates the reversed sign of α, and the dash-dotted line shows the α increased bya factor of 3.

Current usage metrics show cumulative count of Article Views (full-text article views including HTML views, PDF and ePub downloads, according to the available data) and Abstracts Views on Vision4Press platform.

Data correspond to usage on the plateform after 2015. The current usage metrics is available 48-96 hours after online publication and is updated daily on week days.

Initial download of the metrics may take a while.