Open Access

Fig. 10

image

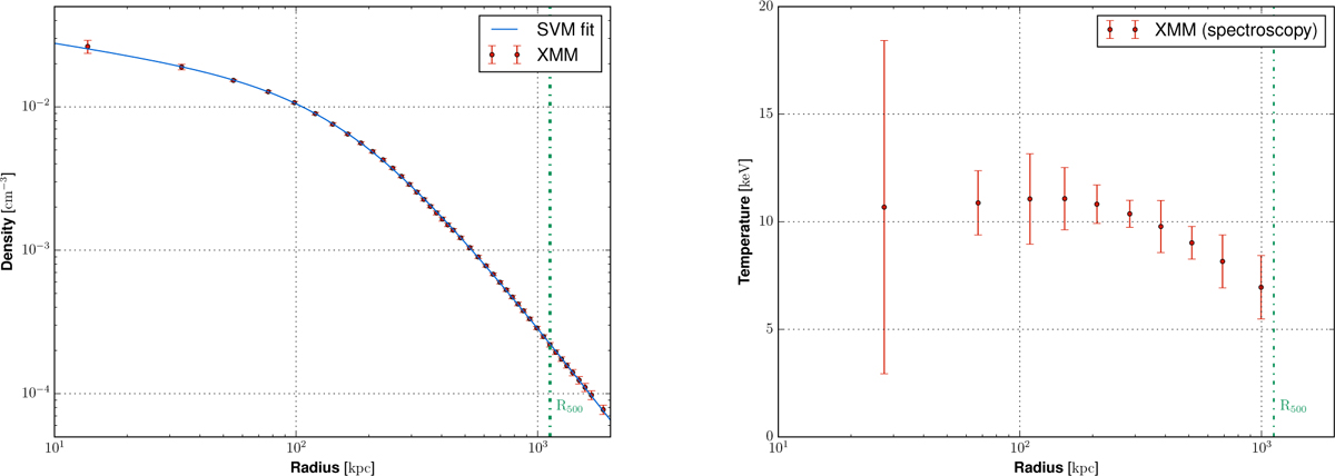
Left: electronic density profile constrained from the XMM-Newton data (red dots). The best-fit SVM model (Vikhlinin et al. 2006) is shown as a blue line. Right: XMM-Newton deprojected temperature profile estimated from the X-ray spectroscopy data. The characteristic radius obtained by XMM-Newton, R500 = 1124 ± 12 kpc is measured from the YXM500 relation of Arnaud et al. (2010) and is represented by a dashed vertical green line.

Current usage metrics show cumulative count of Article Views (full-text article views including HTML views, PDF and ePub downloads, according to the available data) and Abstracts Views on Vision4Press platform.

Data correspond to usage on the plateform after 2015. The current usage metrics is available 48-96 hours after online publication and is updated daily on week days.

Initial download of the metrics may take a while.