Open Access

Fig. 7

image

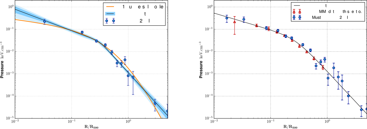
Left: non-parametric pressure profile (blue points) constrained from the combination of the NIKA2 tSZ surface brightness map with the over-pressure region masked and the Planck Compton parameter map only. The deprojected profile has been fitted using a generalized Navarro–Frenk–White (gNFW, Nagai et al. 2007) model (black line), which is compared to the universal pressure profile obtained by Arnaud et al. (2010; orange line). Right: non-parametric pressure profile (blue) deprojected from the MUSTANG and NIKA2 tSZ surface brightness map with the over-pressure region masked and the Planck Compton parameter map. A gNFW pressure profile model has been fitted on the MUSTANG+NIKA2+Planck deprojected pressure points (black solid line). We also show the XMM-Newton estimated pressure profile (red) based on the deprojected density profile and the temperature estimation from X-ray spectroscopic observations. The MUSTANG/NIKA2/Planck and XMM-Newton estimates are compatible within error bars.

Current usage metrics show cumulative count of Article Views (full-text article views including HTML views, PDF and ePub downloads, according to the available data) and Abstracts Views on Vision4Press platform.

Data correspond to usage on the plateform after 2015. The current usage metrics is available 48-96 hours after online publication and is updated daily on week days.

Initial download of the metrics may take a while.