Free Access

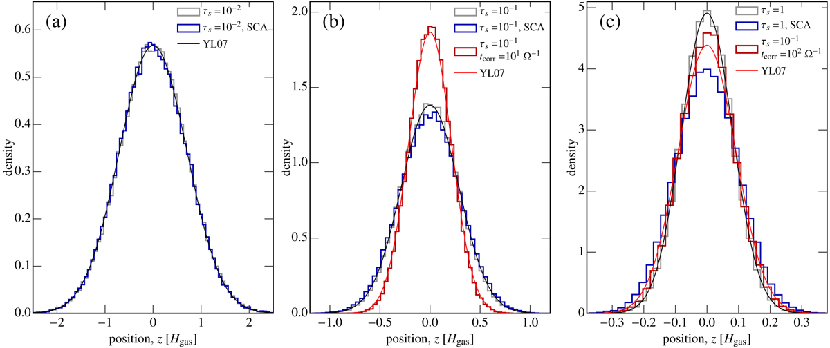
Fig. 2

image

Vertical distribution for particles of different stopping times: τs = tstopΩ = 10−2 (panel a), 10−1 (panel b), and 1 (panel c). Histograms plot the numerically obtained distributions with the stochastic equation of motion (SEOM; gray and red) and strong coupling approximation (SCA; blue) methods. Long tcorr runs are shown with red histograms (the tcorr = 102 Ω−1, τs = 0.1 run is displayed in panel c). Thin curves gives the normal distribution with the scaleheight of Eq. (15) (Youdin & Lithwick 2007). Note the different scaling among the panels.

Current usage metrics show cumulative count of Article Views (full-text article views including HTML views, PDF and ePub downloads, according to the available data) and Abstracts Views on Vision4Press platform.

Data correspond to usage on the plateform after 2015. The current usage metrics is available 48-96 hours after online publication and is updated daily on week days.

Initial download of the metrics may take a while.