Free Access

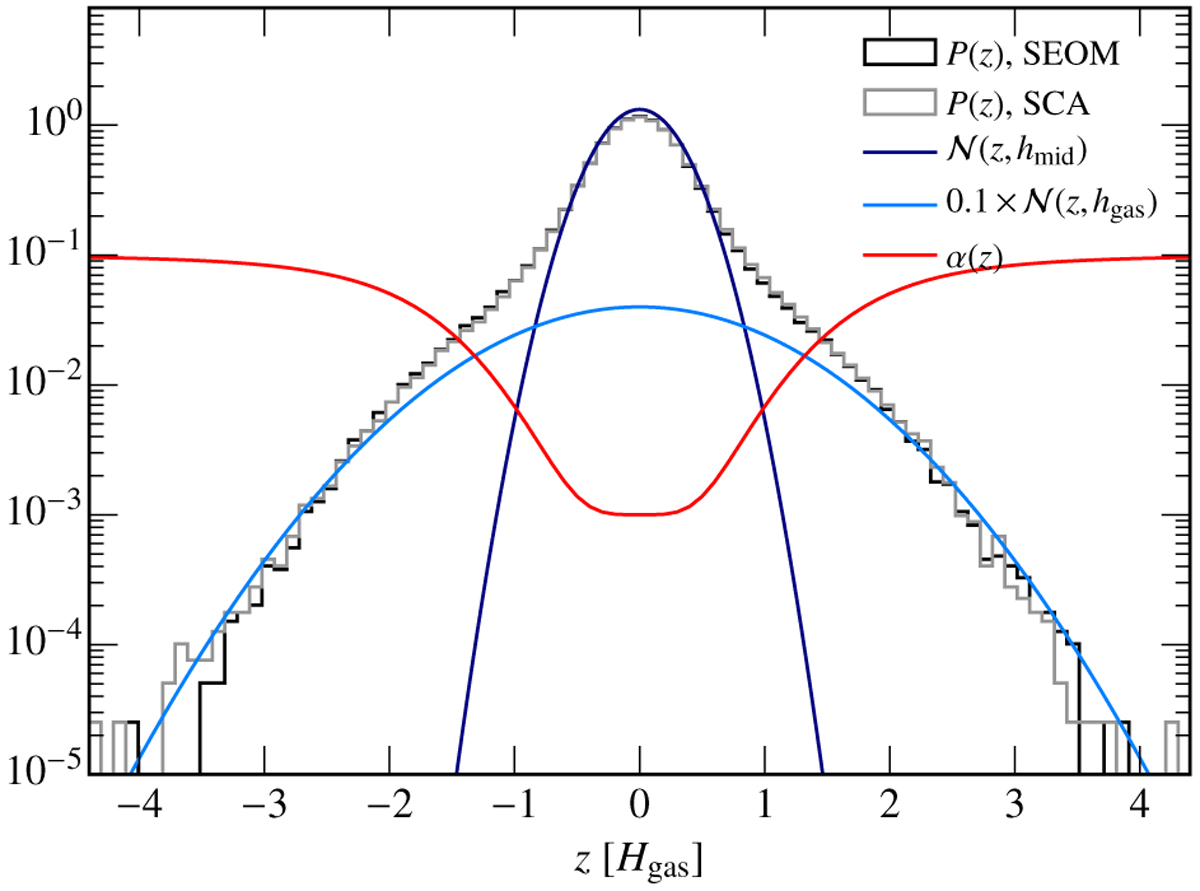
Fig. 3

image

Density distribution P(z) obtainedfrom a vertically varying diffusivity. The diffusivity profile in terms of αz is given by the red curve. The particle stopping time is τs = 10−2 and is taken independent of z. The distributions obtained from integrating the stochastic equation of motions (Eq. (4); black histogram) and the strong coupling approximation (Eq. (10); gray histograms) are consistent. The dark blue curve gives the normal distribution, for the particle scaleheight evaluated in the midplane (i.e., Eq. (15) with α = 10−3). The light blue curves gives the gas distribution, scaled by a factor 0.1.

Current usage metrics show cumulative count of Article Views (full-text article views including HTML views, PDF and ePub downloads, according to the available data) and Abstracts Views on Vision4Press platform.

Data correspond to usage on the plateform after 2015. The current usage metrics is available 48-96 hours after online publication and is updated daily on week days.

Initial download of the metrics may take a while.