Open Access

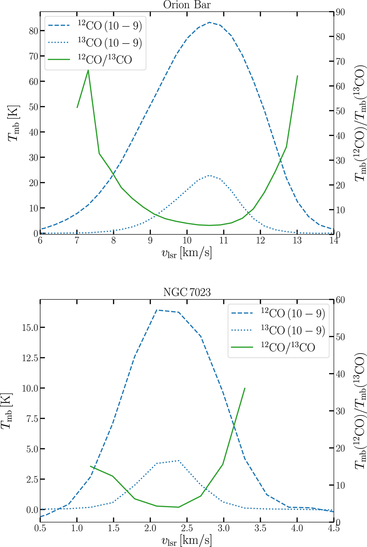
Fig. 5.

image

Line profile for the J = 10–9 transition of 12CO (dashed line) and 13CO (dotted line) in the Orion Bar (top panel) and NGC 7023 NW (bottom panel). The relative intensity of the 12CO to 13CO lines across the velocity profiles is also shown (plain line).

Current usage metrics show cumulative count of Article Views (full-text article views including HTML views, PDF and ePub downloads, according to the available data) and Abstracts Views on Vision4Press platform.

Data correspond to usage on the plateform after 2015. The current usage metrics is available 48-96 hours after online publication and is updated daily on week days.

Initial download of the metrics may take a while.