Open Access

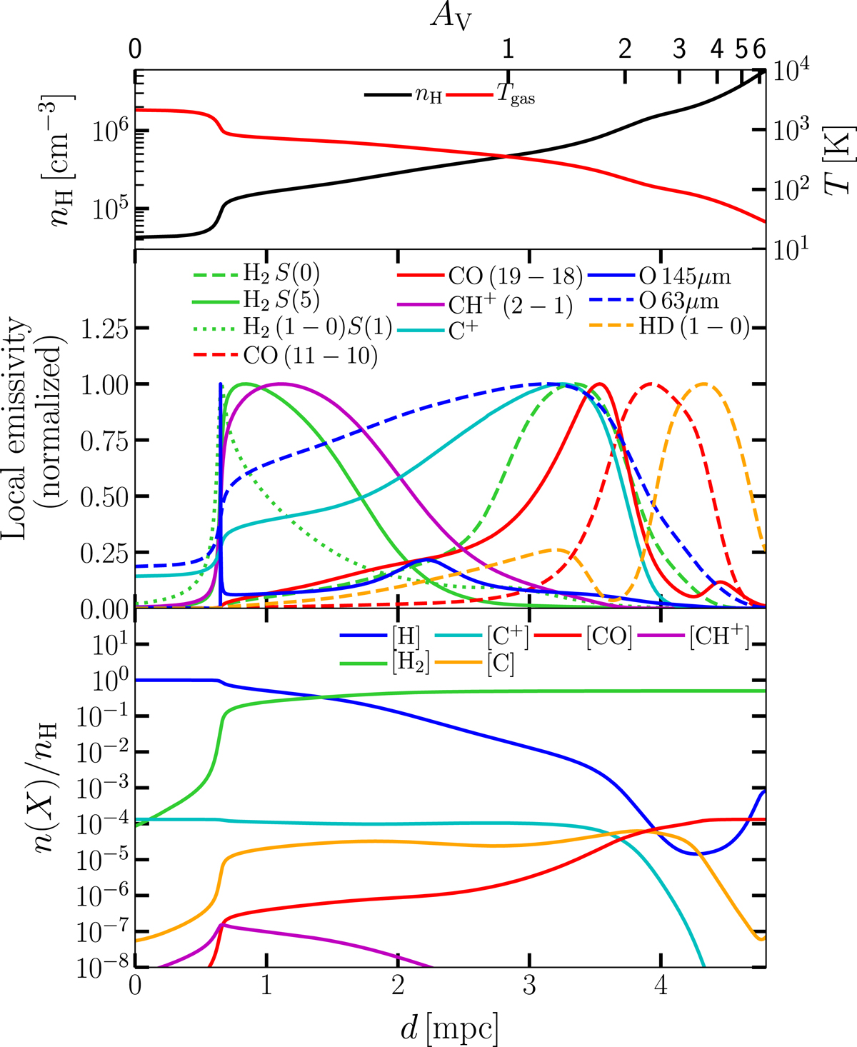
Fig. 8.

image

NGC 7023 PDR model (Pth = 108 K cm−3, global scaling factor = 0.7). Top panel: evolution of the H nuclei number density and gas temperature with AV or distance (in 10−3 pc). Centre panel: spatial profile of the local emissivities of the main tracers. The emissivities have been scaled so that their maximum in the cloud is 1. Bottom panel: spatial profiles of the abundances of the species of interest in the model.

Current usage metrics show cumulative count of Article Views (full-text article views including HTML views, PDF and ePub downloads, according to the available data) and Abstracts Views on Vision4Press platform.

Data correspond to usage on the plateform after 2015. The current usage metrics is available 48-96 hours after online publication and is updated daily on week days.

Initial download of the metrics may take a while.